Formula o nombra los siguientes compuestos: a) monóxido de carbono ; b) nitrito de cobre(II) ; c) etilmetiléter ; d)
; e)
; f) ![]()
Ejercicios de nomenclatura, tanto orgánica como inorgánica, para alumnos de 2.º de Bachillerato.
Formula o nombra los siguientes compuestos: a) monóxido de carbono ; b) nitrito de cobre(II) ; c) etilmetiléter ; d)
; e)
; f) ![]()
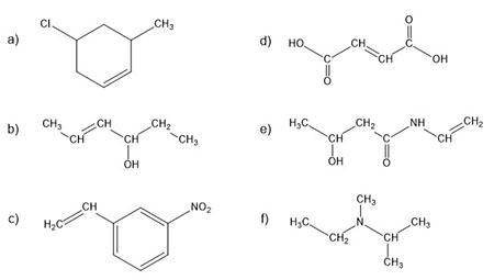
Formula o nombra los siguientes compuestos: a) hidróxido de calcio ; b) ácido fosfórico ; c) 1,2-dimetilbenceno ; d)
; e)
; f)
.
Nombra los siguientes compuestos: