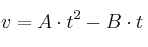
La rapidez de un objeto está dada por la ecuación donde t es el tiempo. ¿Cuáles son las dimensiones de A y de B?
Ejercicios y problemas sobre magnitudes, unidades, conversión de unidades, notación científica y cifras significativas para alumnos que preparan la prueba de Acceso a la Universidad para mayores de 25 años.
La rapidez de un objeto está dada por la ecuación donde t es el tiempo. ¿Cuáles son las dimensiones de A y de B?
Si un ladrillo mide 1,5 pulgadas x 3 pulgadas x 6 pulgadas y tiene una masa de 28 onzas, ¿qué volumen total, en litros, ocuparán 45 kg de ladrillos?
Realiza el siguiente cambio de unidades:
Datos: 1 lbf = 4,45 N ; 1 ft = 0,30 m
Calcula la celeridad media en m/s y en mi/h de un corredor que recorra:
a) 100 m en 10 s.
b) 1 mi en 4 min.
c) 26 mi en 4 h.
Dato: 1 milla son 1609 m.
Un corredor recorre 2 km en 10 minutos. ¿Cuál es su velocidad media expresada en m/s y en mi/h? (1 mi = 1 609 m).