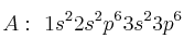
Tres elementos tienen las siguientes configuraciones electrónicas:
;
;
La primera energía de ionización de estos elementos (no en ese orden) es
,
y
, y los radios atómicos son 97, 160 y 235 pm (
):
a) Indica de qué elementos se tratan A y C.
b) Relaciona, de forma justificada, cada valor de energía con cada elemento.
c) Asigna, de forma justificada, a cada elemento el valor del radio correspondiente.
EjerciciosFyQ