Para la reacción en equilibrio a 25 ºC: , = 0,24. En un recipiente de 2 litros, en el que se ha hecho el vacío, se introducen 2 moles de . a) ¿Cuál será la concentración de cuando se alcance el equilibrio? b) ¿Cuántos gramos de quedarán
Problemas, cuestiones y ejercicios sobre equilibrio químico para alumnos de 2.º de Bachillerato.
Para la reacción en equilibrio a 25 ºC: , = 0,24. En un recipiente de 2 litros, en el que se ha hecho el vacío, se introducen 2 moles de . a) ¿Cuál será la concentración de cuando se alcance el equilibrio? b) ¿Cuántos gramos de quedarán
Dada una disolución saturada de , cuya : a) Expresa el valor de en función de la solubilidad. b) Razona cómo afectará a la solubilidad la adición de NaOH. c) Razona cómo afectará a la solubilidad una disminución del pH.
Calcula el producto de solubilidad del carbonato de plata, , sabiendo que su solubilidad en agua pura es
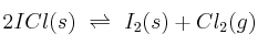
Establece la expresión de la constante de equilibrio para la reacción:
Se disuelve hidróxido de cobalto(II) en agua hasta obtener una disolución saturada a una temperatura dada. Se conoce que la concentración de iones es . Calcula:
a) La concentración de iones de esta disolución.
b) El valor de la constante del producto de solubilidad del compuesto poco (…)