El vector de posición de un móvil es:

Calcula:
a) Su velocidad al cabo de 2 segundos.
b) Su velocidad media durante los cuatro primeros segundos.
Ejercicios y problemas sobre movimientos y composición de movimientos para alumnos de 1.º de Bachillerato.
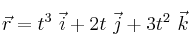
El vector de posición de un móvil es:

Calcula:
a) Su velocidad al cabo de 2 segundos.
b) Su velocidad media durante los cuatro primeros segundos.
La distancia de un móvil a un punto fijo de su trayectoria (referencia), viene dada por la expresión:
![]()
estando «t» expresado en segundos y «s» en metros. Calcula la celeridad media del móvil en el intervalo comprendido entre los instantes t = 1 s y t = 3 s.
El vector de posición de un móvil viene dado por
, en unidades SI. Halla su velocidad entre los instantes 1 y 3 s.
El copiloto de un coche que circula a
lanza un piedra hacia arriba, perpendicularmente a la carretera, con una velocidad de
. ¿Cuál es el valor de la velocidad de la piedra en el instante de soltarla?
Queremos introducir un objeto en un recinto que está rodeado por una valla de 15 m de altura y sólo podemos acercarnos hasta una distancia de 60 m de la valla para hacer el lanzamiento. Si la velocidad con la que lanzamos el objeto es de 30 m/s y el ángulo de lanzamiento es de
, ¿caerá el objeto dentro del recinto? La longitud del recinto es de 50 m.