Un proyectil es disparado verticalmente hacia arriba según la ecuación
. Calcula:
a) La ecuación de su celeridad.
b) Su aceleración.
c) El instante en el que su velocidad es nula.
Ejercicios y problemas sobre movimientos y composición de movimientos para alumnos de 1.º de Bachillerato.
Un proyectil es disparado verticalmente hacia arriba según la ecuación
. Calcula:
a) La ecuación de su celeridad.
b) Su aceleración.
c) El instante en el que su velocidad es nula.
Un tren parte del reposo por una vía circular de 400 m de radio y se mueve con un movimiento uniformemente acelerado hasta que, a los 25 s de iniciada su marcha, alcanza la velocidad de 36 km/h, siendo constante a partir de ese momento. Calcula:
a) La aceleración tangencial en la primera etapa del movimiento.
b) La aceleración normal en el instante t = 25 s.
c) La aceleración total en dicho instante.
La ecuación del movimiento de un sistema es
(SI). Calcula la celeridad del sistema en función del tiempo y el valor de esta en el instante 2 s, además de la aceleración tangencial en función del tiempo y su módulo en el instante 3 s.
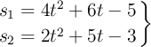
Las ecuaciones del movimiento de dos móviles son:

¿Qué relación existe entre los espacios recorridos por ambos móviles al cabo de 5 s? ¿Y entre sus velocidades?
La ecuación del movimiento de un objeto es:
![]()
en la que «t» se expresa en segundos y «s» en metros. Calcula:
a) La celeridad instantánea al cabo de 2 s.
b) El instante en el que la celeridad es nula.
c) La celeridad media del móvil entre los instantes 1 y 4 s.