Si clicas AQUÍ puedes ver el enunciado y la respuesta del problema que se resuelve en el vídeo.
Si clicas AQUÍ puedes ver el enunciado y la respuesta del problema que se resuelve en el vídeo.
Comprobar si la siguiente ecuación es dimensionalmente correcta:
![]()
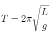
Comprobar si la siguiente ecuación es dimensionalmente correcta:

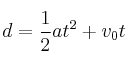
Comprueba que la ecuación
es dimensionalmente correcta