Volumetría para conocer el contenido en NaI de una muestra (7459)

, por F_y_Q

Para conocer el contenido de yoduro de sodio (\ce{NaI}) en una muestra se procede de la siguiente forma: se pesan 0.4225 g de nitrato de plata y se disuelven en agua hasta completar 250 mL de disolución. Luego se pesan 15 g de muestra, se disuelven en 50 mL de agua destilada y se añaden 25 mL de la disolución de nitrato de plata previamente preparada. El exceso de nitrato de plata se valora con tiocianato de potasio (\ce{KSCN}) 1.933\cdot 10^{-2}\ N, consumiéndose 3.1 mL de la disolución del valorante. Calcula el contenido, en mg de \ce{NaI} por 100 g de muestra.

P.-S.

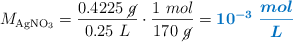
En primer lugar puedes calcular la molaridad de la disolución de nitrato de plata:

M_{\ce{AgNO3}} = \frac{0.4225\ \cancel{g}}{0.25\ L}\cdot \frac{1\ mol}{170\ \cancel{g}} = \color[RGB]{0,112,192}{\bm{10^{-3}\ \frac{mol}{L}}}
Los 25 mL de esta disolución que añades a la disolución de la muestra contienen:

10^{-3}\ \frac{mol}{\cancel{L}}\cdot 25\cdot 10^{-3}\ \cancel{L} = \color[RGB]{0,112,192}{\bf{2.5\cdot 10^{-5}}\ \textbf{\ce{mol\ AgNO3}}}

La reacción que se produce al mezclar la disolución de la muestra con la de nitrato de plata es:

\color[RGB]{2,112,20}{\textbf{\ce{NaI + AgNO3 -> NaNO3 + AgI}}}

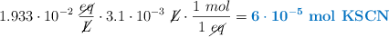
Has añadido un exceso de nitrato de plata y empleas el tiocianato de potasio para valorar el exceso de nitrato de plata. Los moles de tiocianato de potasio que han reaccionado son:

1.933\cdot 10^{-2}\ \frac{\cancel{eq}}{\cancel{L}}\cdot 3.1\cdot 10^{-3}\ \cancel{L}\cdot \frac{1\ mol}{1\ \cancel{eq}} = \color[RGB]{0,112,192}{\bf{6\cdot 10^{-5}}\ \textbf{\ce{mol\ KSCN}}}

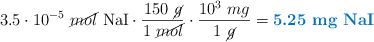
El tiocianato calculado es usado para valorar el exceso de \ce{AgNO3} y el \ce{AgI} que se ha generado como consecuencia de la mezcla de las disoluciones. Es a partir de los moles de yoduro de plata que han reaccionado de donde puedes calcular la masa de yoduro de sodio de la muestra. Han reaccionado:

n_{\ce{AgI}} \equiv n_{\ce{NaI}} = (6\cdot 10^{-5} - 2.5\cdot 10^{-5})\ mol = \color[RGB]{0,112,192}{\bm{3.5\cdot 10^{-5}}\ \textbf{\ce{mol\ NaI}}}

La masa de yoduro de sodio es:

3.5\cdot 10^{-5}\ \cancel{mol}\ \ce{NaI}\cdot \frac{150\ \cancel{g}}{1\ \cancel{mol}}\cdot \frac{10^3\ mg}{1\ \cancel{g}} = \color[RGB]{0,112,192}{\textbf{5.25\ \ce{mg\ NaI}}}

Como tienes que referir el contenido a 100 g de muestra, solo te queda por hacer la proporción:

\frac{5.25\ \ce{mg\ NaI}}{15\ \cancel{\text{g\ M}}} = \frac{x}{100\ \cancel{\ce{g\ M}}}\ \to\ x = \fbox{\color[RGB]{192,0,0}{\textbf{35\ \ce{mg\ NaI}}}}


Descarga el enunciado y la resolución del problema en formato EDICO si lo necesitas.