Determinación del contenido de yoduro en una muestra por argentometría (7461)

, por F_y_Q

Una mezcla de \ce{LiCl} y \ce{BaI2} que pesa 0.6000 g, se trata con 45.7 mL de solución de \ce{AgNO3} 0.2011 N y el exceso de \ce{Ag^+} se titula después con disolución de \ce{KCNS} 0.1023 N. Si se requieren 22.5 mL. ¿Cuál es el porcentaje de yodo en la muestra?

Masas atómicas: Li = 7 ; Ba = 137.3 ; I = 127 ; Cl = 35.5

P.-S.

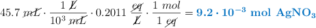
En primer lugar calculas los moles de \ce{AgNO3} que añades con la disolución que echas a la mezcla:

45.7\ \cancel{mL}\cdot \frac{1\ \cancel{L}}{10^3\ \cancel{mL}}\cdot 0.2011\ \frac{\cancel{eq}}{\cancel{L}}\cdot \frac{1\ mol}{1\ \cancel{eq}} = \color[RGB]{0,112,192}{\bm{9.2\cdot 10^{-3}}\ \textbf{\ce{mol\ AgNO3}}}

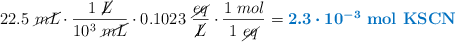
El exceso de catión plata que no ha reaccionado con la mezcla lo obtienes a partir del volumen de tiocianato consumido:

22.5\ \cancel{mL}\cdot \frac{1\ \cancel{L}}{10^3\ \cancel{mL}}\cdot 0.1023\ \frac{\cancel{eq}}{\cancel{L}}\cdot \frac{1\ mol}{1\ \cancel{eq}} = \color[RGB]{0,112,192}{\bm{2.3\cdot 10^{-3}}\ \textbf{\ce{mol\ KSCN}}}

Los moles de \ce{AgNO3} que han reaccionado son:

n = (9.2\cdot 10^{-3} - 2.3\cdot 10^{-3})\ mol = \color[RGB]{0,112,192}{\bm{6.9\cdot 10^{-3}}\ \textbf{\ce{mol\ AgNO3}}}

Las reacciones entre los compuestos de la mezcla y la disolución son:

\left \color[RGB]{2,112,20}{\textbf{\ce{LiCl + AgNO3 -> LiNO3 + AgCl v}} \atop \textbf{\ce{BaI2 + 2AgNO3 -> Ba(NO3)2 + 2AgI v}} \right

Según la estequiometría de las reacciones, son necesarios 3 moles de \ce{AgNO3} en las reacciones con la mezcla. Si divides por tres el valor de los moles reaccionados puedes saber cuánto es lo que ha reaccionado con el \ce{LiCl}, es decir, la masa de ese componente que contiene la mezcla:

6.9\cdot 10^{-3}\ \cancel{\ce{mol\ AgNO3}}\cdot \frac{1\ \cancel{mol}\ \ce{LiCl}}{3\ \cancel{\ce{mol\ AgNO3}}}\cdot \frac{(35.5 + 7)\ g}{1\ \cancel{mol}} = \color[RGB]{0,112,192}{\bm{9.78\cdot 10^{-2}}\ \textbf{\ce{g\ LiCl}}}

La masa de \ce{BaI2} es:

(0.6000 - 9.78\cdot 10^{-2})\ g = \color[RGB]{0,112,192}{\textbf{0.5022\ \ce{g\ BaI2}}}

Tienes que calcular el porcentaje de yodo, por lo que debes determinar la proporción de yodo en la masa del yoduro de bario:

0.5022\ \cancel{\ce{g\ BaI2}}\cdot \frac{254\ \ce{g\ I}}{391.3\ \cancel{\ce{g\ BaI2}}} = \color[RGB]{0,112,192}{\textbf{0.3260\ \ce{g\ I}}}

El porcentaje de yodo en la mezcla es:

\%(I) = \frac{0.3260\ \cancel{g}}{0.6000\ \cancel{g}}\cdot 100 = \fbox{\color[RGB]{192,0,0}{\bf 54.33\%}}

Descarga el enunciado y la resolución del problema en formato EDICO si lo necesitas.