Centro de masas de la molécula de agua (7880)

, por F_y_Q

En la figura puedes ver una versión simplificada de la molécula de agua.

La longitud del enlace \ce{O-H} es 0.09584 nm y el ángulo de enlace \ce{H-O-H} es 104.45^o. El centro de masas de esta molécula, respecto a los ejes dibujados, está en el eje Y siendo el. ¿Cuál es el valor de su coordenada, expresada en nm?

P.-S.

Lo primero que debes hacer es establecer las coordenadas para cada átomo de la molécula. La referencia está tomada en el átomo de oxígeno en la figura dada, por lo tanto O (0,0). Para los hidrógenos debes tener en cuenta el ángulo que forman con el eje vertical, que es la mitad del ángulo formado entre ambos átomos de hidrógeno. El hidrógeno que está a la izquierda, teniendo en cuenta el sentido positivo marcado por las flechas de los ejes, tiene como coordenadas:

\ce{H_i}\ (-0.09584\cdot sen\ 52.225 - 0.09584\cdot cos\ 52.225)  = \color[RGB]{0,112,192}{\bm{(7.575\cdot 10^{-2},-5.871\cdot 10^{-2})}}

Para el hidrógeno que está a la derecha será:

\ce{H_d}\ (0.09584\cdot sen\ 52.225 - 0.09584\cdot cos\ 52.225)  = \color[RGB]{0,112,192}{\bm{(-7.575\cdot 10^{-2},-5.871\cdot 10^{-2})}}

Observa que la componente horizontal para es la misma, pero con signo contrario, para ambos átomos de hidrógeno, por lo que se cumple que el centro de masas solo tendrá componente vertical:

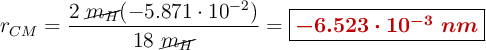
\color[RGB]{2,112,20}{\bm{y_{CM}  = \frac{2m_H\cdot (-5.871\cdot 10^{-2})}{(m_O + 2m_H)}}}

La masa del oxígeno es dieciséis veces mayor que la del hidrógeno, por lo que la ecuación anterior puedes escribirla en función de la masa del hidrógeno y calcular:

r_{CM}  = \frac{2\ \cancel{m_H}(-5.871\cdot 10^{-2})}{18\ \cancel{m_H}} = \fbox{\color[RGB]{192,0,0}{\bm{- 6.523\cdot 10^{-3}\ nm}}}}