Momento de inercia de un sistema de dos esferas unidas por un hilo (8377)

, por F_y_Q

Dos masas puntuales m_1 y m_2 están separadas por una barra sin masa de longitud L:

a) Deduce una expresión para el momento de inercia del sistema, respecto a un eje perpendicular a la barra y que pasa por un punto situado a una distancia x_1 de la masa m_1.

b) Calcula la variación del momento angular con la distancia y demuestra que es mínima cuando el eje pasa por el centro de masas del sistema.

P.-S.

Hacer un esquema de la situación es muy útil para poder visualizar el sistema:


a) El momento de inercia para un sistema como el de la figura es:

\color[RGB]{2,112,20}{\bm{I = \sum m_i\cdot r_i^2}}

Teniendo en cuenta que está expresado en función de la posición con respecto a la masa 1, la ecuación queda como:

I = \sum m_1\cdot x_1^2 + m_2\cdot (L-x_1)^2 = m_1\cdot x_1^2 + m_2\cdot L^2 - 2m_2\cdot L\cdot x_1 + m_2\cdot x_1^2

Si agrupas los términos, la expresión que buscas es:

\fbox{\color[RGB]{192,0,0}{\bm{I = (m_1 + m_2)\cdot x_1^2 + m_2\cdot L^2 - 2m_2\cdot L\cdot x_1}}}


b) Haces la derivada de la expresión anterior con respecto a x_1:

\frac{dI}{dx_1} = \color[RGB]{2,112,20}{\bm{2x_1(m_1 + m_2) - 2m_2\cdot L}}

Para que sea un mínimo, esta expresión tiene que ser igual a cero. Igualas a cero y despejas el valor de x_1:

2x_1(m_1 + m_2) - 2m_2\cdot L = 0\ \to\ \fbox{\color[RGB]{192,0,0}{\bm{x_1 = \frac{m_2\cdot L}{(m_1 + m_2)}}}}


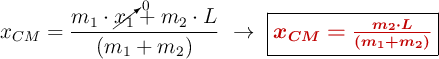
Esta expresión coincide con la del centro de masas del sistemas, si tomas m_1 como referencia. En este caso, x_1 = 0 y la masa m_2 se sitúa a una distancia «L»:

x_{CM} = \frac{m_1\cdot \cancelto{0}{x_1} + m_2\cdot L}{(m_1 + m_2)}\ \to\ \fbox{\color[RGB]{192,0,0}{\bm{x_{CM} = \frac{m_2\cdot L}{(m_1 + m_2)}}}}