Volumen de una sustancia a partir de su densidad (2979)

, por F_y_Q

¿Cuál es el volumen ocupado por 0.5 kg de etanol líquido, a 20 ^oC, si la densidad del etanol a esa temperatura es de 0.789\ \textstyle{g\over cm^3}?

P.-S.

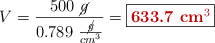
A partir de la ecuación de densidad despejas el volumen: V  = \frac{m}{\rho} :
(Debes tener en cuenta que la masa de etanol ha de estar expresada en gramos, para que las unidades sean homogéneas):

V = \frac{500\ \cancel{g}}{0.789\ \frac{\cancel{g}}{cm^3}} = \fbox{\color[RGB]{192,0,0}{\bf 633.7\ cm^3}}