Volumen de una masa de calcio 0001

, por F_y_Q

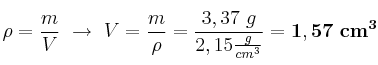
¿Cuál será el volumen que ocupan 3,37 g de calcio si la densidad de éste es de 2,15\ g/cm^3?

P.-S.

La magnitud que relaciona la masa y el volumen de una misma sustancia o sistema es la densidad. Si tienes ese dato, siempre puede hacer la conversión entre la masa y el volumen de tu sustancia.

\rho = \frac{m}{V}\ \to\ V = \frac{m}{\rho} = \frac{3,37\ g}{2,15\frac{g}{cm^3}} = \bf 1,57\ cm^3