Volumen de disolución a partir de la densidad 0001

, por F_y_Q

¿Cuál es el volumen de ácido sulfúrico que habrá que verter en una probeta para disponer de 55,2 g de ácido si la densidad del mismo es de 1,84 g/mL?

P.-S.

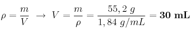
A partir de la expresión de la densidad, se puede despejar el volumen:

\rho = \frac{m}{V}\ \to\ V = \frac{m}{\rho} = \frac{55,2\ g}{1,84\ g/mL} = \bf 30\ mL