Velocidad máxima de los electrones si se produce corriente fotoeléctrica (6584)

, por F_y_Q

Sobre una lámina de sodio, cuya función de trabajo vale 2.4 eV, se hace incidir una radiación de 400 nm. ¿Se producirá corriente fotoeléctrica? Si es así, calcula la velocidad máxima de los fotoelectrones.

Datos: m_{e^-}  = 9.1\cdot 10^{-31}\ kg ; h = 6.63\cdot 10^{-34}\ J\cdot s ; c =  3\cdot 10^8\ m\cdot s^{-1} ; 1\ eV = 1.6\cdot 10^{-19}\ J

P.-S.

En primer lugar puedes calcular la energía de la radiación incidente a partir del dato de la longitud de onda:

\left E_i = h\cdot \nu_i \atop \nu_i = \frac{c}{\lambda} \right \}\ \to\ E_i = \frac{h\cdot c}{\lambda_i}

E_i = \frac{6.63\cdot 10^{-34}\ J\cdot \cancel{s}\cdot 3\cdot 10^8\ m\cdot \cancel{s^{-1}}}{4\cdot 10^{-7}\ \cancel{m}} = \color[RGB]{0,112,192}{\bm{4.97\cdot 10^{-19}\ J}}

Para poder saber si hay corriente fotoeléctrica debes comparar este valor de la energía incidente con el trabjo de extracción. Debes usar la misma unidad:

2.4\ \cancel{eV}\cdot \frac{1.6\cdot 10^{-19}\ J}{1\ \cancel{eV}} = 3.84\cdot 10^{-19}\ J

Como la energía incidente es MAYOR que el trabajo de extracción de los electrones, se produce corriente fotoeléctrica.

La energía cinética de los fotoelectrones es la diferencia entre la energía incidente y el trabajo de extracción:

E_C = E_i - W_{ext} = (4.97 - 3.84)\cdot 10^{-19}\ J = \color[RGB]{0,112,192}{\bm{1.13\cdot 10^{-19}\ J}}

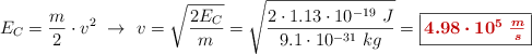
La velocidad de los fotoelectrones la obtienes despejando de la ecuación de la energía cinética:

E_C = \frac{m}{2}\cdot v^2\ \to\ v = \sqrt{\frac{2E_C}{m}} = \sqrt{\frac{2\cdot 1.13\cdot 10^{-19}\ J}{9.1\cdot 10^{-31}\ kg}} = \fbox{\color[RGB]{192,0,0}{\bm{4.98\cdot 10^5\ \frac{m}{s}}}}


Descarga el enunciado y la resolución del problema en formato EDICO si lo necesitas.