Velocidad final de un esquiador que desciende por una rampa con rozamiento (468)

, por F_y_Q

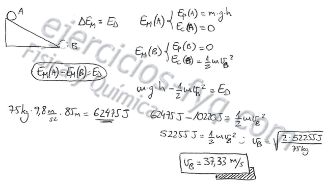
En los JJ.OO de Vancouver se lanza un esquiador con 75 kg de masa por un trampolín que tiene un desnivel de 85 m. Sabiendo que el rozamiento con el aire y con la superficie del trampolín disipa un total de 10 220 J, ¿con qué velocidad llegará al final del trampolín justo antes de comenzar el vuelo?

P.-S.

\fbox{\color[RGB]{192,0,0}{\bm{v = 37.3\ \frac{m}{s}}}}