Masa de la flecha que dispara una arquera (6970)

, por F_y_Q

Una arquera disparó una flecha con su arco y recorrió una distancia de 180 m en 2 s, lo que supuso una energía de 500 J. ¿Cuál es la masa de la flecha?

P.-S.

Lo primero que debes hacer es calcular la velocidad con la que se desplazó la flecha:

v = \frac{d}{t} = \frac{180\ m}{2\ s} = \color[RGB]{0,112,192}{\bm{90\ \frac{m}{s}}}

La energía de la flecha tuvo que ser energía cinética porque es la que está dada en función de la velocidad de la flecha. Si despejas el valor de la masa:

E_C = \frac{1}{2}\cdot m\cdot v^2\ \to\ \color[RGB]{2,112,20}{\bm{\frac{2E_C}{v^2} = m}}

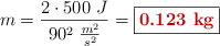
Ahora solo tienes que sustituir y calcular el valor de la masa:

m = \frac{2\cdot 500\ J}{90^2\ \frac{m^2}{s^2}} = \fbox{\color[RGB]{192,0,0}{\bf 0.123\ kg}}