Velocidad de una onda (4082)

, por F_y_Q

Una onda recorre 1 km en 2.9 s. Calcula la rapidez con la que se propaga esa onda.

P.-S.

La velocidad de la onda es:

\color[RGB]{2,112,20}{\bm{v = \frac{d}{t}}}

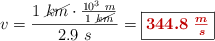
Debes expresar la distancia en metros, para que la velocidad venga dada en unidades del Sistema Internacional:

v = \frac{1\ \cancel{km}\cdot \frac{10^3\ m}{1\ \cancel{km}}}{2.9\ s} = \fbox{\color[RGB]{192,0,0}{\bm{344.8\ \frac{m}{s}}}}


Descarga el enunciado y la resolución del problema en formato EDICO si lo necesitas.