Longitud de onda de una onda sonora (4617)

, por F_y_Q

¿Cuál será la longitud de onda de una onda sonora de 120 Hz de frecuencia? Considera que la velocidad del sonido es de 340 m/s.

P.-S.

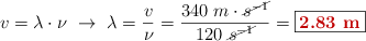
La velocidad de propagación de una onda es el producto de su longitud de onda por su frecuencia. Si despejas la longitud de onda:

v = \lambda\cdot \nu\ \to\ \lambda = \frac{v}{\nu} = \frac{340\ m\cdot \cancel{s^{-1}}}{120\ \cancel{s^{-1}}} = \fbox{\color[RGB]{192,0,0}{\bf 2.83\ m}}


Descarga el enunciado y la resolución del problema en formato EDICO si lo necesitas.