Velocidad de la luz en un tren en movimiento según Galileo y Lorentz (5104)

, por F_y_Q

Un tren viaja a una velocidad de 0.5c (m/s) y un pasajero que está en la parte trasera lanza un rayo de luz hacia la parte delantera del tren. Calcula la velocidad del rayo de luz para un observador en reposo utilizando las trasformaciones de Galileo y las transformaciones de Lorentz.

P.-S.

Si aplicamos la relatividad de Galileo a la situación descrita (para un observador en reposo fuera del tren), en la que la luz avanza en el mismo sentido que el tren que se desplaza a la mitad de la velocidad de la luz, tendríamos:

v_{\text{rayo}} = c - v_{\text{tren}} = c - 0.5c\ \to\ \fbox{\color[RGB]{192,0,0}{\bm{v_{\text{rayo}} = \frac{c}{2}}}}


Esto quiere decir que la velocidad del rayo lanzado dentro del tren sería la mitad de la velocidad de la luz en el vacío, algo que contradice la ecuación de Maxwell en la que la que la velocidad de la luz solo depende del medio.

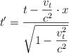
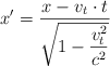
Si aplicamos las transformaciones de Lorentz y llamamos x^{\prime} y t^{\prime} a la distancia y el tiempo en el exterior del tren:

x^{\prime} = \frac{x - v_t\cdot t}{\sqrt{1 - \dfrac{v_t^2}{c^2}}} ; t^{\prime} = \frac{t - \dfrac{v_t}{c^2}\cdot x}{\sqrt{1 - \dfrac{v_t^2}{c^2}}

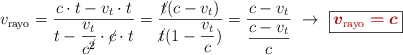
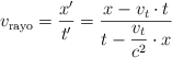
Si dividimos ambas magnitudes para tener la velocidad del rayo fuera del tren:

v_{\text{rayo}} = \frac{x^{\prime}}{t^{\prime}} = \frac{x - v_t\cdot t}{t - \dfrac{v_t}{c^2}\cdot x}

En esta ecuación podemos sustituir x por el producto de la velocidad de la luz y el tiempo, es decir, \color[RGB]{2,112,20}{\bf x = c\cdot t}:

v_{\text{rayo}} = \frac{c\cdot t - v_t\cdot t}{t - \dfrac{v_t}{c^{\cancel{2}}}\cdot \cancel{c}\cdot t} = \frac{\cancel{t}(c - v_t)}{\cancel{t}(1 - \dfrac{v_t}{c})} = \frac{c - v_t}{\dfrac{c - v_t}{c}}\ \to\ \fbox{\color[RGB]{192,0,0}{\bm{v_{\text{rayo}} = c}}}


Ahora la velocidad del rayo coincide con la velocidad de la luz, lo que es coherente con la ecuación de Maxwell.