Energía cinética y masa final de dos partículas que chocan al 80 % de la velocidad de la luz (8215)

, por F_y_Q

Dos partículas iguales, de 3 g de masa en reposo, chocan a una velocidad de «0.8 c» y quedan reducidas a una única masa M_0 en reposo. Calcula:

a) Su masa relativista antes del choque.

b) La energía cinética de las dos partículas antes del choque.

c) La masa final.

P.-S.

La masa de una partícula aumenta a medida que aumenta su velocidad y llega a valores cercanos a la velocidad de la luz. En ese caso, su masa relativista está relacionada con la masa en reposo por medio del factor de Lorentz de la manera:

m = m_0\cdot \gamma\ \to\ \color[RGB]{2,112,20}{\bm{m = \frac{m_0}{\sqrt{1 - \frac{v^2}{c^2}}}}}

a) La masa relativista de las partículas es:

m = \frac{3\ g}{\sqrt{1 - \frac{0.8^2\ \cancel{c^2}}{\cancel{c^2}}}} = \fbox{\color[RGB]{192,0,0}{\bf 5\ g}}}


b) Dado que la masa de las partículas varía en el proceso de acelerarlas, es necesario tener en cuenta esa variación para calcular la energía cinética que adquieren las partículas. Empleas la ecuación de Einstein que relaciona la energía con la variación de la masa, teniendo en cuenta que son dos partículas las que colisionan:

E_C = 2\cdot \Delta m\cdot c^2 = 2(5\cdot 10^{-3} - 3\cdot 10^{-3})\ kg\cdot (3\cdot 10^8)^2\ m^2\cdot s^{-2} = \fbox{\color[RGB]{192,0,0}{\bm{3.6\cdot 10^{14}\ J}}}


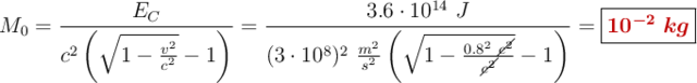
c) Cuando chocan quedan unidas y en reposo, es decir, su energía es transformada en masa. La energía cinética relativista es:

\color[RGB]{2,112,20}{\bm{E_C = M_0c^2(\gamma - 1)}}

Si despejas el valor de la masa final en reposo y sustituyes:

M_0 = \frac{E_C}{c^2\left(\sqrt{1 - \frac{v^2}{c^2}} - 1\right)} = \frac{3.6\cdot 10^{14}\ J}{(3\cdot 10^8)^2\ \frac{m^2}{s^2}\left(\sqrt{1 - \frac{0.8^2\ \cancel{c^2}}{\cancel{c^2}}} - 1\right)} = \fbox{\color[RGB]{192,0,0}{\bm{10^{-2}\ kg}}}