Masa y cantidad de movimiento de un protón que se mueve a gran velocidad (8378)

, por F_y_Q

a) Determina la masa y la cantidad de movimiento de un protón cuando se mueve con una velocidad de 2.70\cdot 10^8\ m\cdot s^{-1}.

b) Calcula el aumento de energía necesario para que el protón del apartado anterior cambie su velocidad de: 2.70\cdot 10^8\ m\cdot s^{-1} a 2.85\cdot 10^8\ m\cdot s^{-1}.

Masa del protón en reposo: m_p = 1.67\cdot 10^{-27}\ kg ; velocidad de la luz en el vacío: c = 3\cdot 10^8\ m\cdot s^{-1}.

P.-S.

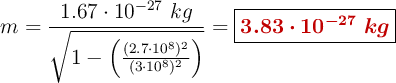
a) La velocidad del protón cuando se está moviendo, con respecto a la masa en reposo, sigue la ecuación:

\color[RGB]{2,112,20}{\bm{m = \frac{m_p}{\sqrt{1 - \frac{v^2}{c^2}}}}}

Sustituyes los datos del enunciado y calculas:

m = \frac{1.67\cdot 10^{-27}\ kg}{\sqrt{1 - \left(\frac{(2.7\cdot 10^8)^2}{(3\cdot 10^8)^2}\right)}} = \fbox{\color[RGB]{192,0,0}{\bm{3.83\cdot 10^{-27}\ kg}}}


La cantidad de movimiento del protón cuando se mueve a la velocidad indicada es:

{\color[RGB]{2,112,20}{\bm{p = m\cdot v}}}\ \to\ p = 3.83\cdot 10^{-27}\ kg\cdot 2.7\cdot 10^8\ m\cdot s^{-1} = \fbox{\color[RGB]{192,0,0}{\bm{1.3\cdot 10^{-18}\ kg\cdot m\cdot s^{-1}}}}


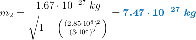
b) Suponiendo que la velocidad es horizontal, solo habrá variación de la energía cinética del protón. Al cambiar la velocidad, en los valores tan altos de velocidad dados en el problema, cambia la masa del protón. Puedes calcular la masa del protón en la segunda velocidad:

m_2 = \frac{1.67\cdot 10^{-27}\ kg}{\sqrt{1 - \left(\frac{(2.85\cdot 10^8)^2}{(3\cdot 10^8)^2}\right)}} = \color[RGB]{0,112,192}{\bm{7.47\cdot 10^{-27}\ kg}}

La variación de la energía cinética es:

\Delta E_C = E_{C_2} - E_{C_1}\ \to\ \Delta E_C = \frac{m_2}{2}\cdot c^2 - \frac{m_1}{2}\cdot c^2\ \to\ \color[RGB]{2,112,20}{\bm{\Delta E_C = \frac{c^2}{2}(m_2 - m_1)}}

Sustituyes y calculas la variación de energía:

\Delta E_C = \frac{(3\cdot 10^8)^2}{2}\ \frac{m^2}{s^2}\cdot (7.47 - 3.83)\cdot 10^{-27}\ kg = \fbox{\color[RGB]{192,0,0}{\bm{1.64\cdot 10^{-10}\ J}}}