Velocidad con la que se lanza un electrón para que se detenga entre otros dos (6086)

, por F_y_Q

Dos electrones se encuentran a una distancia de 2.0 cm. Otro electrón es disparado perpendicularmente a la dirección que los une desde el infinito y se detiene justo en la mitad de ambos. ¿Cuál era la velocidad inicial del electrón que fue disparado?

Datos: q_{e^-} = -1.6\cdot 10^{-19} \ C ; m_{e^-} = 9.1\cdot 10^{-31} \ kg ; K = 9\cdot 10^9\ \textstyle{N\cdot m^2 \over C^2}

P.-S.

El planteamiento de este problema pasa por calcular el potencial debido a los dos electrones en el punto medio de la distancia que los une. Con ese valor podrás calcular la energía necesaria para trasladar el tercer electrón desde el infinito a ese punto, que será igual a la energía cinética inicial del tercer electrón.

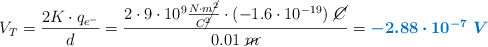
Potencial en el punto medio.

El potencial de cada electrón es:

\color[RGB]{2,112,20}{\bm{V = K \cdot \frac{q_{e^-}}{d}}}

Al tener los dos la misma carga y distar lo mismo al punto considerado, el potencial de ambos electrones será dos veces la fórmula anterior:

V_T = \frac{2K\cdot q_{e^-}}{d} = \frac{2\cdot 9\cdot 10^9\frac{N\cdot m\cancel{^2}}{C\cancel{^2}}\cdot (-1.6\cdot 10^{-19})\ \cancel{C}}{0.01\ \cancel{m}} = \color[RGB]{0,112,192}{\bm{-2.88 \cdot 10^{-7}\ V}}

Energía necesaria para trasladar al tercer electrón.

La ecuación que necesitas es:

\color[RGB]{2,112,20}{\bm{E_P = q_{e^-} \cdot (V_T - \cancelto{0}{V_{\infty}})}}

Si igualas esta energía a la energía cinética inicial podrás obtener la velocidad con la que debe ser lanzado:

q_{e^-}\cdot V_T  = \frac{1}{2}m_{e^-}\cdot v_0^2\ \to\ \color[RGB]{0,112,192}{\bm{v_0 = \sqrt{\frac{2q_{e^-}\cdot V}{m_{e^-}}}}

Solo tienes que sustituir y calcular:

v_0 = \sqrt{\frac{2\cdot (-1.6\cdot 10^{-19}\ C)\cdot (-2.88\cdot 10^{-7}\ V)}{9.1\cdot 10^{-31\ kg}}}  = \fbox{\color[RGB]{192,0,0}{\bm{318.2\ \frac{m}{s}}}}