EBAU Madrid: física (junio 2021) - ejercicio A.3 (7989)

, por F_y_Q

Una carga puntual de 2\ \mu C se encuentra situada en el origen de coordenadas.

a) Aplicando el teorema de Gauss, obtén el flujo del campo eléctrico a través de una superficie esférica de 10 mm de diámetro, centrada en el origen.

b) Utilizando el valor del flujo obtenido en el apartado anterior, calcula el módulo del campo eléctrico en puntos situados a 5 mm de la carga.

Dato: permitividad eléctrica del vacío, \varepsilon_0 = 8.85\cdot 10^{-12}\ C^2\cdot N^{-1}\cdot m^{-2}.

P.-S.

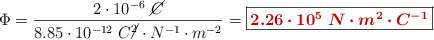
a) Según el teorema de Gauss, el flujo del campo eléctrico a través de una superficie cerrada solo depende el valor de la carga encerrada y de la permitividad eléctrica del medio:

\color[RGB]{2,112,20}{\bm{\Phi = \oint_S \vec{E}\cdot d\vec{S} = \frac{Q}{\varepsilon_0}}}

El cálculo es muy fácil si sustituyes:

\Phi = \frac{2\cdot 10^{-6}\ \cancel{C}}{8.85\cdot 10^{-12}\ C\cancel{^2}\cdot N^{-1}\cdot m^{-2}} = \fbox{\color[RGB]{192,0,0}{\bm{2.26\cdot 10^5\ N\cdot m^2\cdot C^{-1}}}}


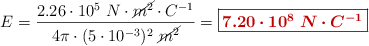
b) En el apartado anterior, y suponiendo que el campo eléctrico es paralelo al vector asociado a a superficie esférica, que es perpendicular a la superficie, se establece la relación entre el campo eléctrico y la superficie:

\Phi = E\cdot S\ \to\ \color[RGB]{2,112,20}{\bm{E = \frac{\Phi}{S}}}

E = \frac{2.26\cdot 10^5\ N\cdot \cancel{m^2}\cdot C^{-1}}{4\pi\cdot (5\cdot 10^{-3})^2\ \cancel{m^2}} = \fbox{\color[RGB]{192,0,0}{\bm{7.20\cdot 10^8\ N\cdot C^{-1}}}}