Velocidad a la que viaja una mujer en una nave si envejece menos que su hijo en la Tierra (6628)

, por F_y_Q

Una mujer de 30 años de edad dice adiós a su hijo de 10 años de edad y se va a un viaje interestelar. Cuando regresa a la Tierra tanto ella como su hijo tienen 40 años de edad. ¿Cuál fue la rapidez de la nave?

P.-S.

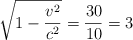
El tiempo que transcurre en la Tierra es t = 30\ a\tilde{n}os mientras que el tiempo de la madre en la nave es t^{\prime} = 10\ a\tilde{n}os . El factor de Lorentz relaciona ambos tiempos:

t = \gamma\cdot t^{\prime}

\sqrt{1 - \frac{v^2}{c^2}}} = \frac{30}{10} = 3

Despejas el valor de la velocidad:

\sqrt{1 - \frac{v^2}{c^2}}} = 0.33\ \to\ \sqrt{(1 - 0.33^2)\cdot c^2} = v

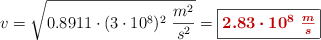
Ahora puedes calcular el valor de la velocidad:

v = \sqrt{0.8911\cdot (3\cdot 10^8)^2\ \frac{m^2}{s^2}} = \fbox{\color[RGB]{192,0,0}{\bm{2.83\cdot 10^8\ \frac{m}{s}}}}


Descarga el enunciado y la resolución del problema en formato EDICO si lo necesitas.