Variación de la temperatura de un gas al variar su volumen 0001

, por F_y_Q

Una muestra de gas tiene un volumen de 4 250 mL a 15 ºC y 745 mm Hg. ¿Cuál es la nueva temperatura, expresada en escala centígrada, después de que la muestra se transfiera a un nuevo contenedor de 2,5 L de volumen y con una presión de 1,2 atm?

P.-S.

Aplicamos la ecuación general de los gases: \frac{P_1\cdot V_1}{T_1} = \frac{P_2\cdot V_2}{T_2}. Despejamos el valor de la temperatura 2 en la ecuación y obtenemos:

T_2 = \frac{T_1\cdot P_2\cdot V_2}{P_1\cdot V_1}

(Ec. 1)
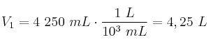
Hay que tener cuenta las unidades para poder sustituir. Hacemos los cambios de unidades oportunos. Expresamos el volumen en litros, la presión en atmósferas y la temperatura (y esto es obligatorio) en kelvin:
V_1 = 4\ 250\ mL\cdot \frac{1\ L}{10^3\ mL} = 4,25\ L
T_1 = 15 + 273 = 285\ K
P_1 = 745\ mm\ Hg\cdot \frac{1\ atm}{760\ mm\ Hg} = 0,98\ atm
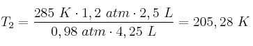
Ya estamos en condiciones de sustituir en la ecuación 1 (Ec. 1):

T_2 = \frac{285\ K\cdot 1,2\ atm\cdot 2,5\ L}{0,98\ atm\cdot 4,25\ L} = 205,28\ K


Como nos piden la temperatura en escala centígrada:

T_2 = 205,28 - 273 = \bf -67,72\ ^{\circ}C