Variación de la presión de un gas cuando aumentamos la temperatura

, por F_y_Q

¿En cuanto aumenta la presión del oxígeno gaseoso contenido en un cilindro de acero, si la temperatura aumenta de 25\ ^\circ C a 100\ ^\circ C?

P.-S.

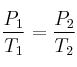
Al ser un cilindro de acero debemos suponer que el volumen permanecerá constante, por lo que estamos ante un ejercicio de aplicación de la ley de Gay-Lussac: \frac{P_1}{T_1} = \frac{P_2}{T_2}
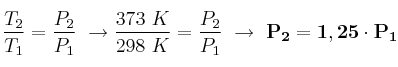
Despejamos en la ecuación y escribimos el cociente de las temperaturas, expresadas en escala absoluta, en el primer miembro y el cociente entre las presiones en el segundo miembro:

\frac{T_2}{T_1} = \frac{P_2}{P_1}\ \to \frac{373\ K}{298\ K} = \frac{P_2}{P_1}\ \to\ \bf P_2 = 1,25\cdot P_1

La presión aumentará en un factor de 1,25 con respecto a la presión inicial, es decir, aumentará un \bf 25\%.