UNED septiembre 2013: fuerza resultante y aceleración

, por F_y_Q

Un cuerpo de masa 100 g está sometido a tres fuerzas: \vec F_1 = 3\vec i ; \vec F_2 = 2\vec j y \vec F_3 = 2\vec i - 3\vec j. Calcula la fuerza neta que se ejerce sobre el cuerpo. ¿Qué aceleración provoca dicha fuerza y cuánto se ha desplazado el cuerpo en 1 s si partía del reposo?

P.-S.

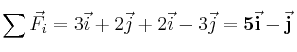
La fuerza neta se determina haciendo la suma vectorial de las tres fuerzas que concurren: \sum \vec F_i = 3\vec i + 2\vec j + 2\vec i - 3\vec j = \bf 5\vec i - \vec j
El módulo de esta fuerza resultante es: F_R = \sqrt{5^2 + 1^1} = \bf 5,1\ N
Como la masa del cuerpo, expresada en kg, es 0,1 kg, si aplicamos la segunda ley de la Dinámica tendremos:

\sum \vec F_i = m\cdot \vec a\ \to\ \vec a = \frac{\sum \vec F_i}{m} = \frac{5\vec i-\vec j}{0,1\kg} = \bf 50\vec i - 10\vec j


El módulo de esta aceleración será: a = \sqrt{50^2 + 10^2} = \bf 50,1\frac{m}{s^2}
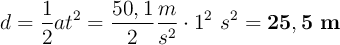
Por último, el desplazamiento que experimenta el cuerpo en un segundo será:

d = \frac{1}{2}at^2 = \frac{50,1}{2}\frac{m}{s^2}\cdot 1^2\ s^2 = \bf 25,5\ m