Peso aparente de una carga en un montacargas que se mueve con aceleración (2941)

, por F_y_Q

Una carga de 280 kp de peso está situada en el interior de un montacargas. Determina cuál será su peso aparente cuando el montacargas se mueva con una aceleración de 3\ \textstyle{m\over s^2} dirigida hacia abajo.

P.-S.

Teniendo en cuenta que 1 kp equivale a 9.8 N, puedes determinar que la masa de la carga es de:

m = \frac{p}{g} = \frac{280\ kp\cdot \frac{9.8\ N}{1\ kp}}{9.8\ \frac{m}{s^2}} = \color[RGB]{0,112,192}{\bf 280\ kg}

El peso aparente es equivalente a lo que marcaría una báscula en el suelo del montacargas, por lo tanto diremos que tiene dirección vertical y sentido hacia arriba (como una reacción al peso de la carga). Tanto el peso como la aceleración del montacargas tienen sentido hacia abajo, por lo que la ecuación quedaría:

p_{ap}  - p = -m\cdot a

Estamos considerando que hacia arriba es positivo y hacia abajo es negativo. Si despejas el valor del peso aparente y lo escribes en función de la masa:

p_{ap}  = p - ma = m(g - a)

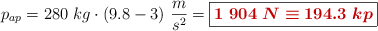
Solo te queda sustituir y calcular:

p_{ap} = 280\ kg\cdot (9.8 - 3)\ \frac{m}{s^2} = \fbox{\color[RGB]{192,0,0}{\bm{1\ 904\ N\equiv 194.3\ kp}}}

RESOLUCIÓN DEL PROBLEMA EN VÍDEO.