Tiro parabólico para impactar en un tanque con MRUA (7427)

, por F_y_Q

Un mortero dispara un proyectil con una velocidad inicial v _0 formando un ángulo \theta con la horizontal. A 20.0 m de él un tanque parte del reposo en línea recta con una aceleración constante de 1.00 \ \textstyle{m\over s^2}. Determina la velocidad mínima inicial del proyectil para que pueda impactar en el tanque.

P.-S.

La forma de resolver el problema es plantear las ecuaciones de la posición del proyectil y del tanque, considerando que el impacto se producirá cuando las posiciones sean iguales. Debes tener en cuenta que el movimiento del proyectil es en dos dimensiones mientras que el tanque se mueve en línea recta. Las ecuaciones de las posiciones son:

Para el tanque.

x_t = x_0 + \cancelto{0}{v_0}\cdot t + \frac{a}{2}\cdot t^2\ \to\ \color[RGB]{2,112,20}{\bm{x_t = 20 + 0.5t^2}}

Para el proyectil.

\left {\color[RGB]{2,112,20}{\bm{x_p = v_0\cdot t\cdot cos\ \theta}}} \atop {\color[RGB]{2,112,20}{\bm{y_p = v_0\cdot t\cdot sen\ \theta - \frac{g}{2}\cdot t^2}}} \right \}

El proyectil impactará al tanque cuando su altura sea nula por lo que el tiempo de vuelo es:

t\cdot (v_0\cdot sen\ \theta - \frac{g}{2}\cdot t) = 0\ \to\ \color[RGB]{2,112,20}{\bm{t_v = \frac{2v_0\cdot sen\ \theta}{g}}}

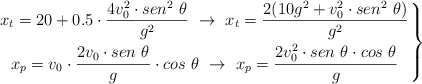
Sustituyes en las posiciones horizontales del tanque y el proyectil el valor del tiempo:

\left x_t = 20 + 0.5\cdot \dfrac{4v_0^2\cdot sen^2\ \theta}{g^2}\ \to\ x_t = \dfrac{2(10g^2 + v_0^2\cdot sen^2\ \theta)}{g^2} \atop x_p = v_0\cdot \dfrac{2v_0\cdot sen\ \theta}{g}\cdot cos\ \theta\ \to\ x_p = \dfrac{2v_0^2\cdot sen\ \theta\cdot cos\ \theta}{g} \right \}

Igualas las posiciones horizontales y despejas el valor de la velocidad inicial:

\cancel{2}\cdot \frac{10g^2 + v_0^2\cdot sen^2\ \theta}{g\cancel{^2}} = \frac{\cancel{2}\cdot v_0^2\cdot sen\ \theta\cdot cos\ \theta}{\cancel{g}}\ \to\ \color[RGB]{2,112,20}{\bm{v_0 = \sqrt{\frac{10g^2}{g\cdot sen\ \theta\cdot cos\ \theta - sen^2\ \theta}}}}

Si tienes en cuenta el valor de g y la igualdad trigonométrica 2\cdot sen\ \theta\cdot cos\ \theta = sen\ 2\theta puedes reescribir la solución anterior como:

\fbox{\color[RGB]{192,0,0}{\bm{v_0 = \sqrt{\frac{960}{4.9sen\ 2\theta - sen^2\ \theta}}}}}


Descarga el enunciado y la resolución del problema en formato EDICO si lo necesitas.