Tiempo y distancia de detención de un móvil que desacelera

, por F_y_Q

La velocidad de un móvil cambia de 180 km/h a 100 km/h, durante un recorrido de 100 m. Calcula el tiempo que emplea en recorrer esa distancia, el tiempo que tarda en detenerse y la distancia para detenerse desde su última velocidad.

P.-S.

Lo primero que debes hacer es convertir las velocidades a unidades SI porque la distancia viene dada en metros:

180\ \frac{\cancel{km}}{\cancel{h}}\cdot \frac{10^3\ m}{1\ \cancel{km}}\cdot \frac{1\ \cancel{h}}{3.6\cdot 10^3\ s} = \color{blue}{50\ \frac{m}{s}}
100\ \frac{\cancel{km}}{\cancel{h}}\cdot \frac{10^3\ m}{1\ \cancel{km}}\cdot \frac{1\ \cancel{h}}{3.6\cdot 10^3\ s} = \color{blue}{27.8\ \frac{m}{s}}

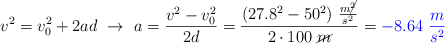
Ahora tienes calcular la aceleración del móvil:

v^2 = v_0^2 + 2ad\ \to\ a = \frac{v^2 - v_0^2}{2d} = \frac{(27.8^2 - 50^2)\ \frac{m\cancel{^2}}{s^2}}{2\cdot 100\ \cancel{m}} = \color{blue}{- 8.64\ \frac{m}{s^2}}

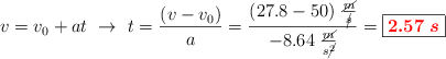
Una vez que conoces la aceleración, puedes determinar el tiempo que ha tardado en hacer esa cambio de velocidad:

v = v_0 + at\ \to\ t = \frac{(v - v_0)}{a} = \frac{(27.8 - 50)\ \frac{\cancel{m}}{\cancel{s}}}{- 8.64\ \frac{\cancel{m}}{s\cancel{^2}}} = \fbox{\color{red}{\bm{2.57\ s}}}


Ahora tomamos como velocidad inicial los 27.8 m/s y como velocidad final cero y aplicas la misma ecuación que antes:

t = \frac{(\cancelto{0}{v} - v_0)}{a} = \frac{- 27.8\ \frac{\cancel{m}}{\cancel{s}}}{- 8.64\ \frac{\cancel{m}}{s\cancel{^2}}} = \fbox{\color{red}{\bm{3.22\ s}}}


La distancia para detenerse la puedes calcular con la primera ecuación que usamos:

d = \frac{\cancelto{0}{v^2} - v_0^2}{2a} = \frac{(- 27.8)^2\ \frac{m\cancel{^2}}{\cancel{s^2}}}{2\cdot (- 8.64)\ \frac{\cancel{m}}{\cancel{s^2}}} = \fbox{\color{red}{\bm{44.7\ m}}}