Tiempo que tarda en deternerse y espacio que recorre un coche que frena

, por F_y_Q

Un vehículo lleva una velocidad de 30\ \textstyle{m\over s} y frena con una aceleración de - 5\ \textstyle{m\over s^2}, ¿cuánto tarda en detenerse y qué distancia recorrió? Realiza una gráfica v frente a t.

P.-S.

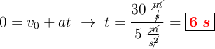
La ecuación que relaciona la velocidad de un sistema con la aceleración que sufre es: v  = v_0 + at
Como la velocidad final será cero cuando se haya detenido:

0 = v_0 + at\ \to\ t = \frac{30\ \frac{\cancel{m}}{\cancel{s}}}{5\ \frac{\cancel{m}}{s\cancel{^2}}} = \fbox{\color{red}{\bm{6\ s}}}


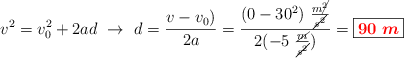
La distancia que recorrerá en ese tiempo se puede determinar de dos modos distintos, en función del tiempo o a partir de la variación de velocidad. Lo hacemos de los dos modos para ver que el resultado es el mismo.
A partir del tiempo de frenado:

d = v_0t + \frac{1}{2}at^2 = 30\ \frac{m}{\cancel{s}}\cdot 6\ \cancel{s} - \frac{1}{2}\cdot 5\ \frac{m}{\cancel{s^2}}\cdot 6^2\ \cancel{s^2} = \fbox{\color{red}{\bm{90\ m}}}


A partir de la variación de la velocidad:

v^2 = v_0^2 + 2ad\ \to\ d = \frac{v - v_0)}{2a} = \frac{(0 - 30^2)\ \frac{m\cancel{^2}}{\cancel{s^2}}}{2(-5\ \frac{\cancel{m}}{\cancel{s^2}})} = \fbox{\color{red}{\bm{90\ m}}}


Para hacer la gráfica v frente a t hay que graficar la primera ecuación que hemos usado, que es la ecuación de una recta. Si clicas en la miniatura puedes ver la gráfica con más detalle.