Tiempo mínimo de un elevador en llegar a 40 ft de altura (4778)

, por F_y_Q

Un elevador puede acelerar a 5\ ft\cdot s^{-2} y después desacelerar a 2\ ft\cdot s^{-2}. Determina el tiempo más corto que tardaría en llegar a un piso de una altura de 40 ft, sabiendo que ha de detenerse al llegar.

P.-S.

Para hacer este ejercicio, puedes dividir el trayecto del elevador en dos tramos. En el primer tramo irá acelerando hasta llegar a una altura que llamas «x», mientras que en el segundo tramo irá desacelerando hasta pararse.

Primer tramo.

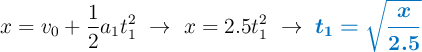
El tiempo que estará acelerando es:

x = v_0 + \frac{1}{2}a_1t_1^2\ \to\ x = 2.5t_1^2\ \to\ \color[RGB]{0,112,192}{\bm{t_1 = \sqrt{\frac{x}{2.5}}}}

La velocidad del elevador en ese instante es:

v_1 = v_0 + a_1t_1\ \to\ \color[RGB]{0,112,192}{\bm{v_1 = 5t_1}}

Has expresado la posición y la velocidad del elevador en función del primer intervalo de tiempo.

Segundo tramo.

Ahora está desacelerando y su ecuación de la posición es:

\color[RGB]{2,112,20}{\bm{40 - x = 5t_1\cdot t_2 - \frac{1}{2}a_2t_2^2}}

Sustituyes el valor de t_1 en esta ecuación del segundo tramo:

40 - x = 5\sqrt{\frac{x}{2,5}}\cdot t_2 - t_2^2\ \to\ \color[RGB]{2,112,20}{\bm{t_2^2 - \sqrt{10x}\cdot t_2 - x + 40 = 0}}

Resuelves la ecuación cuadrática para t_2 y obtienes:

\color[RGB]{0,112,192}{\bm{t_2 = \frac{\sqrt{10x}\pm \sqrt 2\cdot \sqrt{7x - 80}}{2}}}

A continuación, tienes que derivar la solución obtenida, que está en función de «x», e igualas a cero para que ese tiempo sea mínimo. Obtienes como solución:

x = \frac{200}{7}\ ft = \color[RGB]{0,112,192}{\bf 28.57\ ft}

Esto quiere decir que el elevador ascenderá hasta alcanzar la altura obtenida, comenzando luego la desaceleración. El tiempo transcurrido hasta llegar a esa altura es:

t_1 = \sqrt{\frac{28.57\ \cancel{ft}}{2.5\ \frac{\cancel{ft}}{s^2}}} = \color[RGB]{0,112,192}{\bf 3.38\ s}}

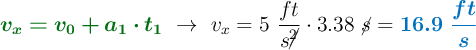
La velocidad que tendrá en ese instante es:
{\color[RGB]{2,112,20}{\bm{v_x = v_0 + a_1\cdot t_1}}}\ \to\ v_x = 5\ \frac{ft}{s\cancel{^2}}\cdot 3.38\ \cancel{s} = \color[RGB]{0,112,192}{\bm{16.9\ \frac{ft}{s}}}

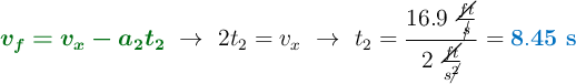
El tiempo de desaceleración será:

{\color[RGB]{2,112,20}{\bm{v_f = v_x - a_2t_2}}}\ \to\ 2t_2 = v_x\ \to\ t_2 = \frac{16.9\ \frac{\cancel{ft}}{\cancel{s}}}{2\ \frac{\cancel{ft}}{s\cancel{^2}}} = {\color[RGB]{0,112,192}{\bf 8.45\ s}}

El tiempo total invertido en el trayecto sería:

t_T = (3.38 + 8.45)\ s = \fbox{\color[RGB]{192,0,0}{\bf 11.83\ s}}