Tiempo en horas y minutos para llegar al supermercado en patinete

, por F_y_Q

Para hacer la compra nos hemos de desplazar un total de 2.5 km en línea recta hasta el supermercado, utilizando un patinete eléctrico a su máxima velocidad (25 km/h). Calcula el tiempo que tardas en llegar en horas y en minutos.

P.-S.

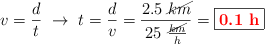
La velocidad es el cociente de la distancia recorrida entre el tiempo empleado. Si despejas el valor del tiempo:

v= \frac{d}{t}\ \to\ t = \frac{d}{v} = \frac{2.5\ \cancel{km}}{25\ \frac{\cancel{km}}{h}} = \fbox{\color{red}{\bf 0.1\ h}}


Ahora debes hacer la conversión a minutos:

0.1\ \cancel{h}\cdot \frac{60\ min}{1\ \cancel{h}} = \fbox{\color{red}{\bf 6\ min}}