Tiempo en el que se cruzan un coche y un tren que circulan en sentido contrario

, por F_y_Q

El velocímetro de un auto marca 80 km/h. Despreciando la longitud del auto, ¿cuánto tiempo le lleva cruzarse con un tren de 200 m de longitud que viaja a 120 km/h en sentido contrario?

P.-S.

Como el coche y el tren llevan velocidades de sentido contrario, la velocidad relativa del coche con respecto al tren es la suma de ambas velocidades, es decir, 200 km/h. Expresado en m/s:

200\ \frac{\cancel{km}}{\cancel{h}}\cdot \frac{10^3\ m}{1\ \cancel{km}}\cdot \frac{1\ \cancel{h}}{3.6\cdot 10^3\ s} = \color{blue}{55.6\ \frac{m}{s}}

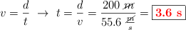
El tiempo que tarda en recorrer los 200 m del tren es:

v = \frac{d}{t}\ \to\ t = \frac{d}{v} = \frac{200\ \cancel{m}}{55.6\ \frac{\cancel{m}}{s}} = \fbox{\color{red}{\bf 3.6\ s}}