Tensión de una hebra de seda de araña para una frecuencia fundamental (7238)

, por F_y_Q

Los biólogos piensan que algunas arañas sintonizan hebras de su telaraña para dar una respuesta mejorada en las frecuencias correspondientes a aquellas en las que las presas deseables podrían tener dificultades. La seda de la telaraña de una araña tejedora de orbe tiene un diámetro típico de 20 mm, y la seda de esa araña tiene una densidad de 1\ 300\ \textstyle{kg\over m^3} . Para tener una frecuencia fundamental a 100 Hz, ¿a que tensión debe ajustar la araña una hebra de seda de 12 cm de largo?

P.-S.

La velocidad con la que se propaga una onda es el producto de su longitud de onda por la frecuencia. La longitud de onda depende de un número entero en cada uno de los armónicos. Si supones que la frecuencia umbral se da para el primer armónico, es decir, para n = 1 tienes:

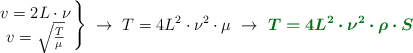
v = \lambda\cdot \nu = \frac{2L}{\cancelto{1}{n}}\cdot \nu = 2L\cdot \nu

La velocidad de propagación en la hebra también se puede escribir en función de la tensión y de la densidad lineal. La ecuación es:

v = \sqrt{\frac{T}{\mu}}

La densidad lineal de la hebra es el cociente entre la masa y la longitud de la misma, pudiendo escribir la masa de la hebra en función de la densidad y del volumen:

\left \mu = \frac{m}{L} \atop m = \rho\cdot V \right \}\ \to\ \mu = \frac{\rho\cdot V}{L} = \rho\cdot S

Si igualas ambas expresiones de la velocidad de propagación:

\left v = 2L\cdot \nu \atop v = \sqrt{\frac{T}{\mu}} \right \}\ \to\ T = 4L^2\cdot \nu^2\cdot \mu\ \to\ \color[RGB]{2,112,20}{\bm{T = 4L^2\cdot \nu^2\cdot \rho\cdot S}}

Tan solo tienes que sustituir en la ecuación, teniendo en cuenta que la sección de la hebra es S = \pi\cdot r^2:

T = 4\cdot 0.12^2\ \cancel{m^2}\cdot 10^4\ s^{-2}\cdot 1\ 300\ \frac{kg}{\cancel{m^3}}\cdot \pi\cdot (0.01)^2\ m\cancel{^2} = \fbox{\color[RGB]{192,0,0}{\bf 236.2\ N}}