Características de una onda creada en el centro de una piscina circular (8216)

, por F_y_Q

En el centro de una piscina circular de 6 m de radio se produce una perturbación que origina un movimiento ondulatorio en la superficie del agua. La longitud de onda es de 0.50 m y tarda 12 s en llegar a la orilla. Calcula la frecuencia del movimiento ondulatorio. ¿Cuál es la amplitud del mismo si al cabo de 0.25 s la elongación en el origen es de 4 cm? Determina la elongación en el instante t = 12 s en un punto situado a 6 m del foco emisor.

P.-S.

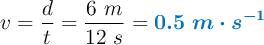
Para determinar la frecuencia de la onda es necesario conocer la velocidad con la que se propaga. Esa velocidad es:

v = \frac{d}{t} = \frac{6\ m}{12\ s} = \color[RGB]{0,112,192}{\bm{0.5\ m\cdot s^{-1}}}

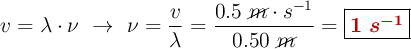
La velocidad de propagación es igual al producto entre la frecuencia y la longitud de onda. Si despejas y sustituyes:

v = \lambda\cdot \nu\ \to\ \nu = \frac{v}{\lambda} = \frac{0.5\ \cancel{m}\cdot s^{-1}}{0.50\ \cancel{m}} = \fbox{\color[RGB]{192,0,0}{\bm{1\ s^{-1}}}}


La ecuación general de una onda sigue la forma:

\color[RGB]{2,112,20}{\bm{y(x,t) = A\cdot sen\ (\omega\cdot t - kx + \phi_0)}}

Si consideras que al inicio la superficie del agua está en reposo, el desfase será cero. Si tomas como referencia el lugar donde se origina la perturbación, x = 0. En este caso, la ecuación de la onda es:

\color[RGB]{2,112,20}{\bm{y(0, t) = A\cdot sen\ (\omega\cdot t)}}

La frecuencia angular se relaciona con la frecuencia que has calculado por medio de la ecuación:

\color[RGB]{2,112,20}{\bm{\omega = 2\pi\cdot \nu}}

Sustituyes el valor de la elongación para los 0.25 s y despejas el valor de la amplitud:

A = \frac{y(0,t)}{sen\ (\omega\cdot t)} = \frac{4\ cm}{sen\ (2\pi\cdot 1\ \cancel{s^{-1}}\cdot 0.25\ \cancel{s})} = \fbox{\color[RGB]{192,0,0}{\bf 4\ cm}}


En este momento puedes calcular la elongación para t = 12 s, cuando x = 6 m:

y(6, 12) = 4\ cm\cdot sen\ (2\pi\cdot 1\ \cancel{s^{-1}}\cdot 12\ \cancel{s} - \frac{2\pi}{0.5\ \cancel{m}}\cdot 6\ \cancel{m})\ \to\ \fbox{\color[RGB]{192,0,0}{\bf y(6,12) = 0}}