Intensidad de sonido de un sistema de alarmas en una empresa (8201)

, por F_y_Q

En una gran multinacional están instalando por el edificio un sistema de alarmas de acuerdo con el correspondiente plan de seguridad laboral. Se coloca un receptor a 100 m de distancia para medir la intensidad del sonido de una de las alarmas y recibe una intensidad de 0.10\ W\cdot m^{-2}.

a) ¿Cuál sería la intensidad que recibiría si se colocara a 1 000 m de distancia?

b) Calcula la máxima distancia a la que se pueden colocar las alarmas para que sean escuchadas por todo el personal del edificio si la menor intensidad del sonido que puede apreciar el oído humano es I_{\text{lim}} = 1\ \mu W\cdot m^{-2}.

P.-S.

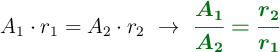
En una onda sonora, el producto de la amplitud por la distancia es constante. Puedes escribirlo como:

A_1\cdot r_1 = A_2\cdot r_2\ \to\ \color[RGB]{2,112,20}{\bm{\frac{A_1}{A_2} = \frac{r_2}{r_1}}}

La intensidad de la onda es proporcional al cuadrado de la amplitud:

I = k\cdot A^2

Si despejas la amplitud de la ecuación anterior y sustituyes en la primera ecuación, tienes:

\frac{\cancel{k}\cdot \sqrt{I_1}}{\cancel{k}\cdot \sqrt{I_2}} = \frac{r_2}{r_1}\ \to\ \color[RGB]{2,112,20}{\bm{I_2 = I_1\cdot \left(\frac{r_1}{r_2}\right)^2}}

a) Sustituyes los datos de distancia y la intensidad de la señal que recibe a los 100 m:

I_2 = 0.10\ \frac{W}{m^2}\left(\frac{10^2\ \cancel{m}}{10^3\ \cancel{m}}\right)^2 = \fbox{\color[RGB]{192,0,0}{\bm{10^{-3}\ W\cdot m^{-2}}}}


b) Ahora tienes que despejar el valor de la distancia y tener en cuenta la intensidad límite:

\frac{I_1}{I_{\text{lim}}} = \left(\frac{r_2}{r_1}\right)^2\ \to\ \color[RGB]{2,112,20}{\bm{r_2 = r_1\cdot \sqrt{\frac{I_1}{I_{\text{lim}}}}}}

Sustituyes y calculas:

r_2 = 10^2\ m\cdot \sqrt{\frac{0.1\ \cancel{\frac{W}{m^2}}}{10^{-6}\ \cancel{\frac{W}{m^2}}}} = \fbox{\color[RGB]{192,0,0}{\bm{3.16\cdot 10^4\ m}}}