Temperatura final en el enfriamiento isocórico de un gas (2876)

, por F_y_Q

¿Cuántos grados centígrados debe disminuir la temperatura de un gas para que, manteniendo la presión a la que se encontraba inicialmente, el volumen sea cinco veces menor? (Temperatura inicial del gas: -10\ ^oC)

a) 220.4\ ^oC

b) 218.4\ ^oC

c) 8\ ^oC

P.-S.

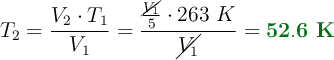
Debes aplicar la Ley de Charles:

\color[RGB]{2,112,20}{\bm{\frac{V_1}{T_1}  = \frac{V_2}{T_2}}}

Recuerda que la temperatura debe estar expresada siempre en escala absoluta cuando trabajas con gases. Despejas el valor de la temperatura final:

T_2 = \frac{V_2\cdot T_1}{V_1} = \frac{\frac{\cancel{V_1}}{5}\cdot 263\ K}{\cancel{V_1}} = \color[RGB]{2,112,20}{\bf 52.6\ K}

La temperatura debe disminuir:

(273 - 52.6) = \fbox{\color[RGB]{192,0,0}{\bm{220.4\ ^oC}}}

.
La respuesta correcta será a)