Porcentaje en masa de una aleación de oro y plata (6638)

, por F_y_Q

Sara está preparando una aleación de oro y plata para hacer unos pendientes. Utiliza 21 g de oro y 8 g de plata. Halla el tanto por ciento en masa de cada componente de la aleación. Indica también el soluto y el disolvente en este caso.

P.-S.

El disolvente es el componente que está en mayor proporción en la mezcla, por lo tanto el disolvente es el oro.

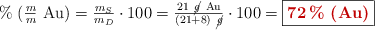
Para poder hacer el porcentaje en masa debes aplicar la fórmula y tener en cuenta la masa de la mezcla, que es la suma de las masas de los componentes. Para el oro es:

\%\ (\textstyle{m\over m}\ \ce{Au}) = \frac{m_S}{m_D}\cdot 100 = \frac{21\ \cancel{g}\ \ce{Au}}{(21 + 8)\ \cancel{g}}\cdot 100 = \fbox{\color[RGB]{192,0,0}{\bf 72\%\ (\ce{Au})}}


Al haber solo dos componentes en la aleación, el porcentaje de la plata lo puedes calcular por diferencia:

\%\ (\textstyle{m\over m}\ \ce{Ag}) = (100 - 72)\% = \fbox{\color[RGB]{192,0,0}{\bf 28\%\ (\ce{Ag})}}


Descarga el enunciado y la resolución del problema en formato EDICO si lo necesitas.