Suma de vectores y producto escalar (7405)

, por F_y_Q

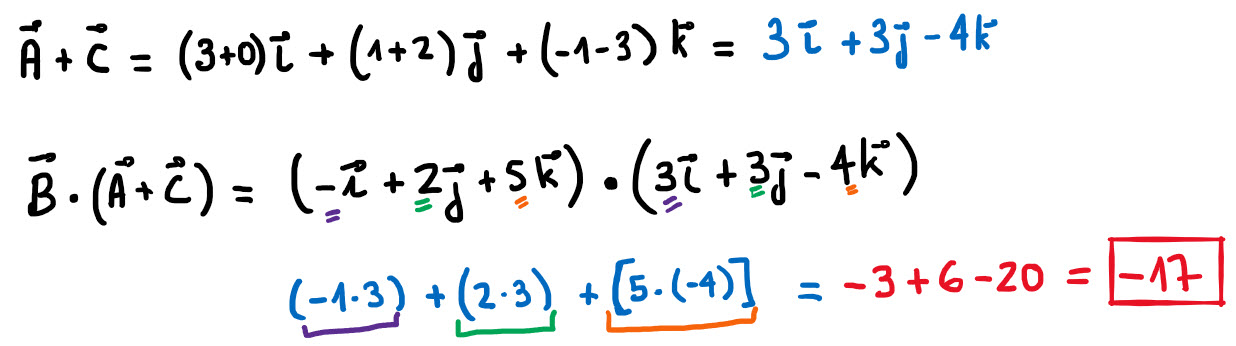
Para los siguientes vectores: \vec A = 3\ \vec i + \vec j - \vec k , \vec B = - \vec i + 2\ \vec j + 5\ \vec k y \vec C = 2\ \vec j - 3\ \vec k . Calcula \vec B\cdot (\vec A + \vec C) .

P.-S.

El orden en el que hacer la operación es importante. En primer lugar debes sumar los vectores \vec{A} y \vec{C} y luego hacer el producto escalar del vector \vec{B} con el vector resultante de la suma anterior.

La solución que debes obtener es:

\fbox{\color[RGB]{192,0,0}{\bm{\vec{B}\cdot (\vec{A} + \vec{C}) = -17}}}


Puedes ver la resolución si haces clic en la siguiente imagen.


Descarga el enunciado y la resolución del problema en formato EDICO si lo necesitas.