Representación y cálculo de vectores de desplazamiento (8323)

, por F_y_Q

a) Representa gráficamente los puntos A(0,4), B(-2,0) y C(5,3) y dibuja los vectores posición, con respecto al origen, \vec{r}_A, \vec{r}_B y \vec{r}_C.

b) Escribe analíticamente los vectores representados en el apartado anterior.

c) Calcula los vectores que describen el desplazamiento de A a B (\Delta \vec{r}_{AB}) y de A a C (\Delta \vec{r}_{AC}), y represéntalos gráficamente.

d) Calcula el módulo de ambos desplazamientos e interpreta el resultado obtenido.

P.-S.

El ejercicio es una aplicación de cómo representar magnitudes vectoriales y cómo trabajar con los vectores analíticamente. Si clicas sobre las imágenes podrás verlas con mayor tamaño y definición.

a) Los puntos que debes representar son:


Para representar el vector posición de cada punto, con respecto al origen, solo tienes que usar vectores que unan el punto O con los puntos A, B y C:


b) Para obtener las componentes de los vectores debes hacer la diferencia de las coordenadas del punto final y el punto inicial:

\vec{r}_A = (0 - 0)\ \vec{i} + (4 - 0)\ \vec{j}\ \to\ \fbox{\color[RGB]{192,0,0}{\bm{\vec{r}_A = 4\ \vec{j}}}}


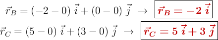
Tienes que hacer lo mismo con los otros dos vectores:

\left \vec{r}_B = (-2 - 0)\ \vec{i} + (0 - 0)\ \vec{j}\ \to\ {\fbox{\color[RGB]{192,0,0}{\bm{\vec{r}_B = -2\ \vec{i}}}}} \atop \vec{r}_C = (5 - 0)\ \vec{i} + (3 - 0)\ \vec{j}\ \to\ {\fbox{\color[RGB]{192,0,0}{\bm{\vec{r}_C = 5\ \vec{i} + 3\ \vec{j}}}}} \right


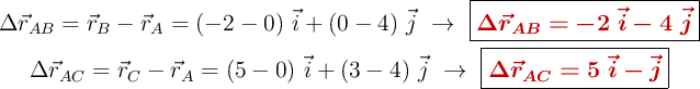
c) El desplazamiento es la diferencia entre las posiciones que tomas como referencia. Esto quiere decir que puedes describir el vector desplazamiento como:

\color[RGB]{2,112,20}{\bm{\Delta \vec{r} = \vec{r}_f + \vec{r}_i}}

Si aplicas esta definición a los casos del enunciado, obtienes:

\left \Delta \vec{r}_{AB} = \vec{r}_B - \vec{r}_A = (-2 - 0)\ \vec{i} + (0 - 4)\ \vec{j}\ \to\ {\fbox{\color[RGB]{192,0,0}{\bm{\Delta \vec{r}_{AB} = -2\ \vec{i} - 4\ \vec{j}}}}} \atop \Delta \vec{r}_{AC} = \vec{r}_C - \vec{r}_A = (5 - 0)\ \vec{i} + (3 - 4)\ \vec{j}\ \to\ {\fbox{\color[RGB]{192,0,0}{\bm{\Delta \vec{r}_{AC} = 5\ \vec{i} - \vec{j}}}}} \right


La representación gráfica de los vectores desplazamiento es:


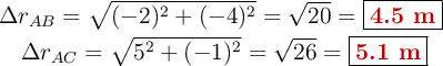
d) El módulo de un vector se calcula con la fórmula:

\color[RGB]{2,112,20}{\bm{\Delta r = \sqrt{r_x^2 + r_y^2}}}

Si la aplicas para los vectores obtenidos:

\left \Delta r_{AB} = \sqrt{(-2)^2 + (-4)^2} = \sqrt{20} = {\fbox{\color[RGB]{192,0,0}{\bf 4.5\ m}}}\ \atop \Delta r_{AC} = \sqrt{5^2 + (-1)^2} = \sqrt{26} = {\fbox{\color[RGB]{192,0,0}{\bf 5.1\ m}}} \right