Sistema óptico con dos lentes delgadas al que se acopla una lámina de caras paralelas (8442)

, por F_y_Q

Un sistema óptico consta de dos lentes delgadas: una lente convergente $$$ \text{L}_1$$$ con distancia focal $$$ \text{f}_1^{\prime} = 15\ \text{cm}$$$ y una lente divergente $$$ \text{L}_2$$$ con distancia focal $$$ \text{f}_2^{\prime} = -10\ \text{cm}$$$, separadas por una distancia d = 25 cm. Un objeto luminoso de altura y = 2 cm se coloca a una distancia $$$ \text{s}_1 = 30\ \text{cm}$$$ a la izquierda de $$$ \text{L}_1$$$.

a) Determina la posición y el tamaño de la imagen formada por el sistema.

b) Calcula el aumento lateral total del sistema.

c) Si ahora se coloca una lámina de caras paralelas de espesor t = 5 cm e índice de refracción n = 1.5 entre $$$ \text{L}_1$$$ y $$$ \text{L}_2$$$, ¿cómo afecta esto a la posición final de la imagen?

d) Analiza la estabilidad del sistema si $$$ \text{L}_2$$$ se desplaza ligeramente hacia $$$ \text{L}_1$$$.

P.-S.

a) Para calcular la imagen que se forma tras L_1 aplicas la ecuación de las lentes delgadas:

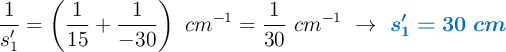
\frac{1}{f_1^{\prime}} = \frac{1}{s_1^{\prime}} - \frac{1}{s_1}\ \to\ {\color[RGB]{2,112,20}{\bm{\frac{1}{s_1^{\prime}} = \frac{1}{f_1^{\prime}} + \frac{1}{s_1}}}}

\frac{1}{s_1^{\prime}} = \left(\frac{1}{15} + \frac{1}{-30}\right)\ cm^{-1} = \frac{1}{30}\ cm^{-1}\ \to\ \color[RGB]{0,112,192}{\bm{s_1^{\prime} = 30\ cm}}

La imagen intermedia I_1 se forma 30 cm a la derecha de L_1 y es real.

El aumento lateral que produce la primera lente es:

A_1 = \frac{s_1^{\prime}}{s_1} = \frac{30\ \cancel{cm}}{-30\ \cancel{cm}} = \color[RGB]{0,112,192}{\bf -1}

La imagen es del mismo tamaño, pero invertida, es decir:

\color[RGB]{0,112,192}{\bm{y_1^{\prime} = -2\ cm}}

Como la distancia entre L_1 y L_2 es de 25 cm, y la imagen intermedia está 30 cm a la derecha de L_1, la posición con respecto a L_2 es:

s_2 = s_1 - d = (30 - 25)\ cm\ \to\ \color[RGB]{0,112,192}{\bm{s_2 = 5\ cm}}

Es decir, el objeto se sitúa 5 cm a la derecha de la segunda lente, por lo que será tomado con signo positivo y se considera real. Si aplicas la ecuación de lentes para L_2:

\frac{1}{f_2^{\prime}} = \frac{1}{s_2^{\prime}} - \frac{1}{s_2}\ \to\ {\color[RGB]{2,112,20}{\bm{\frac{1}{s_2^{\prime}} = \frac{1}{f_2^{\prime}} + \frac{1}{s_2}}}}

\frac{1}{s_2^{\prime}} = \left(\frac{1}{-10} + \frac{1}{5}\right)\ cm^{-1}\ \to\ \fbox{\color[RGB]{192,0,0}{\bm{s_2^{\prime} = 10\ cm}}}


La imagen final I_2 se forma a 10 cm a la derecha de la segunda lente y es real.

El aumento lateral de la segunda lente:

A_2 = \frac{s_2^{\prime}}{s_2} = \frac{10\ \cancel{cm}}{5\ \cancel{cm}} = \color[RGB]{0,112,192}{\bf 2}

La imagen es del doble de tamaño y sigue siendo invertida. El tamaño de la imagen formada por el sistema es:

y_2^{\prime} = 2\cdot y_1^{\prime} = 2\cdot (-2)\ cm\ \to\ \fbox{\color[RGB]{192,0,0}{\bm{y_2^{\prime} = -4\ cm}}}


La imagen final es invertida y dos veces más grande que el tamaño del objeto.

b) El aumento lateral total del sistema es:

A_L =  A_1\cdot A_2 = -1\cdot 2 = \fbox{\color[RGB]{192,0,0}{\bf -2}}


c) Al colocar la lámina entre las dos lentes se produce un desplazamiento lateral (\Delta) que puedes calcular con esta ecuación de relaciona ese desplazamiento con el espesor de la lámina y el índice de refracción del material con el que está hecha:

\color[RGB]{2,112,20}{\bm{\Delta = t \left(1 - \frac{1}{n}\right)}}

Sustituyes y calculas el desplazamiento lateral:

\Delta = 5\ cm \left(1 - \frac{1}{1.5}\right) = \color[RGB]{0,112,192}{\bf 1.67\ cm}

La imagen después de la primera lente está ahora 6.67 cm a la derecha de la segunda lente. Debes repetir el cálculo para la segunda lente y averiguar cuál es la posición de la imagen final:

\frac{1}{-10} = \frac{1}{s_2^{\prime}} = \left(\frac{1}{-10} + \frac{1}{-6.67}\right)\ cm^{-1}\ \to\ \color[RGB]{0,112,192}{\bm{s_2^{\prime} = 20\ cm}}

La imagen final se forma 20 cm a la derecha de la segunda lente, es decir, más lejos que antes.

d) Si la segunda lente se acerca a la primera, disminuye el valor de «d» y se hace mayor el valor de «s_2». Como la segunda lente es divergente, ese mayor alejamiento provoca que la imagen que forma sea más cercana a su foco imagen, por lo que «s_2^{\prime}» disminuye. La conclusión es que el sistema sigue siendo estable, pero la imagen final se acerca a la segunda lente.