Resistencias en paralelo y ley de Ohm (2238)

, por F_y_Q

En un circuito en serie con cuatro resistencias eléctricas de 4, 6, 8 y 10 ohmios la resistencia equivalente es de 28 ohmios. Si se tiene un circuito en paralelo con las mismas resistencias y si se aplica un voltaje de 20 V, ¿cuál es la intensidad de la corriente que pasa por el circuito en paralelo?

P.-S.

La resistencia equivalente de la asociación de las resistencias en paralelo es ahora:

\frac{1}{R_{\text{eq}}} = \left(\frac{1}{R_1} + \frac{1}{R_2} + \frac{1}{R_3} + \frac{1}{R_4}\right) = \left(\frac{1}{4} + \frac{1}{6} + \frac{1}{8} + \frac{1}{10}\right)\ \Omega^{-1} = \frac{77}{120}\ \Omega^{-1}

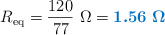
Debes tener cuidado porque la resistencia equivalente es la inversa de la obtenida:

R_{\text{eq}} = \frac{120}{77}\ \Omega = \color[RGB]{0,112,192}{\bm{1.56\ \Omega}}

Aplicas la ley de Ohm y calculas:

I = \frac{\Delta V}{R_{\text{eq}}} = \frac{20\ V}{1.56\ \Omega} = \fbox{\color[RGB]{192,0,0}{\bf 12.8\ A}}