Material del que está hecho un conductor sabiendo su diámetro, longitud y resistencia (7180)

, por F_y_Q

¿De qué material está hecho un conductor de 3.5 m de longitud, con un diámetro de 10 mm, que tiene una resistencia de 4.9\ m\Omega ? Busca la información que precises para dar tu respuesta en Internet.

P.-S.

A partir de la ecuación de la resistencia puedes despejar el valor de la resistividad:

R = \rho\cdot \frac{L}{S}\ \to\ \color[RGB]{2,112,20}{\bm{\rho = \frac{R\cdot S}{L}}}

La sección del conductor la calculas a partir de la ecuación del área de un círculo. Debes tener en cuenta que el dato del enunciado es el diámetro y tú necesitas el radio, que es la mitad:

S = \pi\cdot R^2 = 3.14\cdot (5\cdot 10^{-3})^2\ m^2 = \color[RGB]{0,112,192}{\bm{7.85\cdot 10^{-5}\ m^2}}

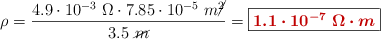
La resistividad que debes calcular es:

\rho = \frac{4.9\cdot 10^{-3}\ \Omega\cdot 7.85\cdot 10^{-5}\ m\cancel{^2}}{3.5\ \cancel{m}} = \fbox{\color[RGB]{192,0,0}{\bm{1.1\cdot 10^{-7}\ \Omega\cdot m}}}


El valor que obtienes es similar al valor de la resistividad del hierro.


Descarga el enunciado y la resolución del problema en formato EDICO si lo necesitas.