P.-S.
a) Para hacer la resistencia equivalente vamos a ir calculando la resistencia de distintas agrupaciones por pasos.
Primer paso:
Son dos resistencias en serie las que tienes que sumar:
Segundo paso:
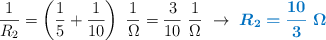
Ahora es una asociación en paralelo entre la resistencia anterior y la que está debajo:
Tercer paso:
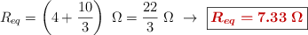
La resistencia que queda está en serie con la resistencia calculada en el paso anterior:
![R_{eq} = \left(4 + \frac{10}{3}\right)\ \Omega = \frac{22}{3}\ \Omega\ \to\ \fbox{\color[RGB]{192,0,0}{\bm{R_{eq} = 7.33\ \Omega}}} R_{eq} = \left(4 + \frac{10}{3}\right)\ \Omega = \frac{22}{3}\ \Omega\ \to\ \fbox{\color[RGB]{192,0,0}{\bm{R_{eq} = 7.33\ \Omega}}}](local/cache-vignettes/L347xH40/cb096a48fdaef6e6865912ae26dd151a-e0c94.png?1733145623)
b) En el circuito habrá una corriente total que se divide en las dos ramas que están en paralelo:
La intensidad de corriente total la calculas a partir de la Ley de Ohm:
![I_T = \frac{\Delta V}{R_{eq}} = \frac{12\ V}{7.33\ \Omega} = \fbox{\color[RGB]{192,0,0}{\bf 1.64\ A}} I_T = \frac{\Delta V}{R_{eq}} = \frac{12\ V}{7.33\ \Omega} = \fbox{\color[RGB]{192,0,0}{\bf 1.64\ A}}](local/cache-vignettes/L225xH40/fa60bf2697ecbcc86db6aab96fb918ff-9b365.png?1733145623)
Al llegar esa corriente al nudo en el que se separan las ramas debe dividirse. Fíjate que la resistencia de la rama de arriba, la que llamamos

es la mitad que la resistencia de la rama de abajo. Esto quiere decir que la corriente total se dividirá de modo que dos partes circularán por la rama de arriba y una parte por la de abajo:
![I_1 = \frac{2}{3}\cdot I_T = \frac{2\cdot 1.64\ A}{3} = \fbox{\color[RGB]{192,0,0}{\bf 1.09\ A}} I_1 = \frac{2}{3}\cdot I_T = \frac{2\cdot 1.64\ A}{3} = \fbox{\color[RGB]{192,0,0}{\bf 1.09\ A}}](local/cache-vignettes/L253xH35/d5cc287a9f22ba7212b22955e5692ea9-7bcf2.png?1733145623)
![I_2 = \frac{1}{3}\cdot I_T = \frac{1.64\ A}{3} = \fbox{\color[RGB]{192,0,0}{\bf 0.55\ A}} I_2 = \frac{1}{3}\cdot I_T = \frac{1.64\ A}{3} = \fbox{\color[RGB]{192,0,0}{\bf 0.55\ A}}](local/cache-vignettes/L233xH35/e1b37876cedd1dd95e9bc87e6386f38c-2cae9.png?1733145623)
Otra forma de resolverlo más general es aplicar que la diferencia de potencial en ambas ramas es la misma y escribirla como producto de la intensidad por la resistencia en cada rama. Se deben cumplir las ecuaciones del siguiente sistema:
Despejas el valor de la primera intensidad y la sustituyes en la segunda y obtienes la ecuación:
![3I_2 = 1.64\ A\ \to\ I_2 = \frac{1.64\ A}{3}\ \to\ \fbox{\color[RGB]{192,0,0}{\bm{I_2 = 0.55\ A}}} 3I_2 = 1.64\ A\ \to\ I_2 = \frac{1.64\ A}{3}\ \to\ \fbox{\color[RGB]{192,0,0}{\bm{I_2 = 0.55\ A}}}](local/cache-vignettes/L352xH35/66e598fd45f73d5f0f8f762a93f2d74d-9b507.png?1733145623)
La intensidad en la otra rama es:
![I_1 = 2I_2\ \to\ \fbox{\color[RGB]{192,0,0}{\bm{I_1 = 1.09\ A}}} I_1 = 2I_2\ \to\ \fbox{\color[RGB]{192,0,0}{\bm{I_1 = 1.09\ A}}}](local/cache-vignettes/L197xH24/490ae94853a8782647255f6eb5a84d78-6c552.png?1733145623)