Resistencia de un conductor de cobre sabiendo la longitud y el diámetro (1708)

, por F_y_Q

Un hilo de cobre tiene una longitud de 5 m y un diámetro de 1 mm. Sabiendo que la resistividad del cobre es 1.7\cdot 10^{-8}\ \Omega\cdot m, ¿cuál es su resistencia?

P.-S.

La resistencia de un hilo conductor se puede escribir en función de su longitud, de su sección y del material del que está hecho. La ecuación es:

\color[RGB]{2,112,20}{\bm{R= \rho\cdot \frac{L}{S}}}

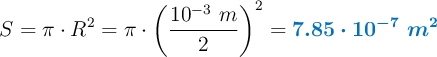
Suponiendo que el hilo es circular y que su sección está expresada en función del radio y no del diámetro:

S = \pi\cdot R^2 = \pi\cdot \left(\frac{10^{-3}\ m}{2}\right)^2 = \color[RGB]{0,112,192}{\bm{7.85\cdot 10^{-7}\ m^2}}

Sustituyes en la ecuación inicial y calculas la resistencia:

R = 1.7\cdot 10^{-8}\ \Omega\cdot \cancel{m}\cdot \frac{5\ \cancel{m}}{7.85\cdot 10^{-7}\ \cancel{m^2}} = \fbox{\color[RGB]{192,0,0}{\bm{R = 0.11\ \Omega}}}