Repaso: volumen de disolución para disolver una masa de soluto (7476)

, por F_y_Q

¿En qué volumen de solución deben disolverse 30 g de cloruro de sodio, cuya masa molecular es 58.5 g/mol, para disponer de una solución 0.3 M.

P.-S.

La concentración de la disolución que requieres es de 0.3 moles de soluto por cada litro de disolución. Primero conviertes la masa de soluto en moles:

30\ \cancel{g}\ \ce{NaCl}\cdot \frac{1\ \text{mol}}{58.5\ \cancel{g}} = \color[RGB]{0,112,192}{\textbf{0.513\ \ce{mol\ NaCl}}}

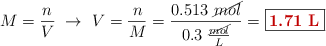
Ahora despejas el volumen de la ecuación de la molaridad y sustituyes para calcular:

M = \frac{n}{V}\ \to\ V = \frac{n}{M} = \frac{0.513\ \cancel{mol}}{0.3\ \frac{\cancel{mol}}{L}} = \fbox{\color[RGB]{192,0,0}{\bf 1.71\ L}}


Descarga el enunciado y la resolución del problema en formato EDICO si lo necesitas.