Ampliación: tiempo que tarda un electrón en atravesar una hoja de papel (8068)

, por F_y_Q

Un electrón, que se desplaza con un velocidad de 5\cdot 10^6\ m\cdot s^{-1}, se dispara contra una hoja de papel de espesor 2.1\cdot 10^{-4}\ cm. El electrón sale de la hoja con una velocidad de 2 \cdot 10^6\ m\cdot s^{-1}. Determina el tiempo que tarda el electrón al atravesar la hoja.

P.-S.

En primer lugar debes calcular la aceleración del electrón. Como conoces la variación de la velocidad y el espesor del papel, puedes calcularla con la ecuación:

v^2 = v^2_0 + 2ad\ \to\ \color[RGB]{2,112,20}{\bm{a = \frac{v^2 - v^2_0}{2d}}}

Sustituyes los datos conocidos, convirtiendo la distancia en metros, y obtienes la aceleración:

a = \frac{(2\cdot 10^6)^2 - (5\cdot 10^6)^2\ m\cancel{^2}\cdot s^{-2}}{2\cdot 2.1\cdot 10^{-6}\ \cancel{m}} = \color[RGB]{0,112,192}{\bm{-5\cdot 10^{18}\ m\cdot s^{-2}}}

Ya puedes determinar el tiempo si tienes en cuenta la ecuación:

v = v_0 + at\ \to\ \color[RGB]{2,112,20}{\bm{t = \frac{v - v_0}{a}}}

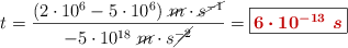
Solo te queda sustituir en la ecuación y calcular el tiempo:

t = \frac{(2\cdot 10^6 - 5\cdot 10^6)\ \cancel{m}\cdot \cancel{s^{-1}}}{-5\cdot 10^{18}\ \cancel{m}\cdot s\cancel{^{-2}}} = \fbox{\color[RGB]{192,0,0}{\bm{6\cdot 10^{-13}\ s}}}