Refuerzo: tiempo necesario para que un cuerpo móvil que se mueve pase por el origen (8347)

, por F_y_Q

Un cuerpo se mueve hacia el origen con velocidad constante de 3.5\ m\cdot s^{-1}. Si inicialmente se encuentra a una distancia de 100 m de este ¿cuánto tiempo tardará en pasar por él?

P.-S.

Lo primero que debes hacer es determinar el tipo de movimiento que lleva el cuerpo. Se trata de un MRU porque su velocidad es constante y conoces el módulo. La ecuación que rige este movimiento, suponiendo que es horizontal, es:

\color[RGB]{2,112,20}{\bm{x(t) = x_0 + v\cdot t}}

Si consideras que se mueve hacia la izquierda, porque su posición inicial está a 100 m a la derecha del origen, debes establecer un criterio de signos para que la ecuación anterior sea correcta. En la imagen puedes ver un esquema del problema en el que se considera que el sentido hacia la derecha es positivo:


La ecuación de la posición, en este caso, se transforma en:

\color[RGB]{2,112,20}{\bf x(t) = 100 - 3.5t}

La posición inicial es positiva porque está situado a la derecha de la referencia, mientras que la velocidad es negativa porque apunta hacia la izquierda, por coherencia con el criterio de signos expresado en rojo.

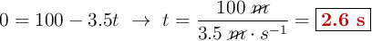
La condición que debes imponer a la ecuación anterior es que la posición sea cero, es decir, x = 0. Lo siguiente es despejar el tiempo y calcular:

0 = 100 - 3.5t\ \to\ t = \frac{100\ \cancel{m}}{3.5\ \cancel{m}\cdot s^{-1}} = \fbox{\color[RGB]{192,0,0}{\bf 2.6\ s}}


¿Qué pasaría si el criterio de signos fuera el contrario?
El nuevo esquema sería:


Ahora la velocidad es positiva, pero la posición inicial es negativa porque se sitúa a la derecha de la referencia. La ecuación cambia:

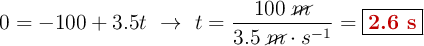
\color[RGB]{2,112,20}{\bf x(t) = -100 + 3.5t}

Si impones la misma condición, es decir, que la posición final sea cero porque será cuando llegue al origen, y resuelves:

0= -100 + 3.5t\ \to\ t = \frac{100\ \cancel{m}}{3.5\ \cancel{m}\cdot s^{-1}} = \fbox{\color[RGB]{192,0,0}{\bf 2.6\ s}}


Como puedes ver, el resultado es el mismo tomes el criterio de signos que tomes, siempre que tu ecuación del movimiento sea coherente con el mismo.